La Calcolatrice Impedenza Microstrip permette di determinare l’impedenza caratteristica e il ritardo di propagazione di una traccia microstrip su un circuito stampato. Utilizza un modello basato sulle formule di Hammerstad e una correzione di spessore in stile Wheeler per ottenere risultati accurati, in linea con i valori calcolati da strumenti professionali come EverythingRF.
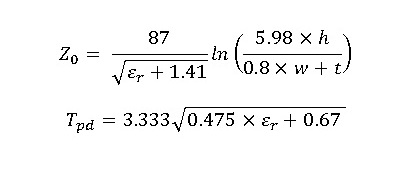
Equazione di Impedenza Microstrip
Z₀ = (60 / √εₑff) × ln(8H / W_eff + 0.25 × W_eff / H)
Per W_eff / H > 1: Z₀ = (120π) / (√εₑff × (W_eff / H + 1.393 + 0.667 × ln(W_eff / H + 1.444)))
Dettagli dei Calcoli
La formula si basa sul rapporto tra la larghezza effettiva della traccia W_eff e lo spessore del dielettrico H. La correzione di spessore di Wheeler tiene conto della finitura del rame, mentre il modello di Hammerstad calcola la permittività effettiva εₑff. Il risultato consente di prevedere con precisione il valore dell’impedenza caratteristica Z₀ e del ritardo di propagazione per pollice del segnale elettrico.

Esempi Pratici
Esempio 1: W = 50 mils, t = 1.4 mils, H = 25 mils, εr = 4.3
Risultato: Z₀ ≈ 49.83 Ω, Ritardo ≈ 90.41 ps/inch
Esempio 2: W = 30 mils, t = 1 mil, H = 20 mils, εr = 3.5
Risultato: Z₀ ≈ 57.26 Ω, Ritardo ≈ 87.12 ps/inch
Applicazioni della Calcolatrice Impedenza Microstrip
- Progettazione di linee microstrip ad alta frequenza per PCB RF e microonde
- Calcolo dell’impedenza per linee di trasmissione in circuiti a radiofrequenza
- Ottimizzazione della geometria delle tracce per adattamento d’impedenza
- Studio dei ritardi di propagazione nei segnali digitali ad alta velocità
- Simulazione e verifica dei parametri PCB nel design di comunicazioni wireless