La Calcolatrice Larghezza Microstrip consente di calcolare la larghezza richiesta di una traccia microstrip per ottenere un’impedenza caratteristica specifica. È utile nella progettazione di circuiti a microonde, PCB RF e linee di trasmissione ad alta frequenza, dove il controllo dell’impedenza è fondamentale per minimizzare le perdite e le riflessioni del segnale.
Equazione per il Calcolo della Larghezza
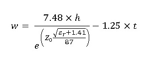
W = (7.48 × h) / exp(Z₀ × √(εr + 1.41) / 87) − 1.25 × t
Descrizione dei Parametri
Z₀ è l’impedenza caratteristica desiderata della linea microstrip, h è lo spessore del dielettrico, t rappresenta lo spessore della traccia di rame e εr è la costante dielettrica relativa del materiale. Il risultato W indica la larghezza della traccia, calcolata nello stesso sistema di unità di h e t. Questa relazione consente di determinare rapidamente le dimensioni ottimali del conduttore per ottenere l’impedenza voluta senza ricorrere a simulazioni complesse.

Esempi di Calcolo della Larghezza
Esempio 1: Z₀ = 50 Ω, t = 1 mil, h = 10 mil, εr = 4.2. Risultato: W ≈ 15.37812906 mil
Esempio 2: Z₀ = 75 Ω, t = 2 mil, h = 12 mil, εr = 2.9. Risultato: W ≈ 7.59218457 mil
Applicazioni della Calcolatrice Larghezza Microstrip
- Progettazione di linee a microonde e PCB ad alta frequenza
- Ottimizzazione dell’impedenza in sistemi RF e antenne stampate
- Calcolo rapido della larghezza per circuiti a impedenza controllata
- Riduzione di riflessioni e disadattamenti nei collegamenti RF
- Supporto didattico per lo studio delle linee di trasmissione microstrip