La Calcolatrice Linea di Vista permette di calcolare rapidamente la distanza visibile tra due punti in base all’altezza dell’antenna. Questo strumento considera l’effetto della curvatura terrestre per determinare sia la distanza di visibilità diretta che l’orizzonte radio utile per i collegamenti di comunicazione.
Linea di vista
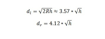
Equazione per la Distanza di Vista
dₗ = 3.57 × √h (dove h è l’altezza dell’antenna in metri)
dᵣ = 4.12 × √h per il raggio radio o portata di servizio
Spiegazione del Calcolo
L’equazione sfrutta la relazione tra altezza dell’antenna e distanza visibile, tenendo conto della curvatura terrestre. La distanza di linea di vista dₗ indica quanto lontano un segnale può viaggiare senza ostacoli, mentre la distanza dell’orizzonte radio dᵣ rappresenta la portata pratica per collegamenti radio o telecomunicazioni. Aumentando l’altezza dell’antenna, entrambe le distanze aumentano proporzionalmente alla radice quadrata dell’altezza.

Esempi di Calcolo
Esempio 1: Antenna altezza = 10 m. Distanza linea di vista: dₗ ≈ 11.30 km. Orizzonte radio: dᵣ ≈ 13.04 km
Esempio 2: Antenna altezza = 50 m. Distanza linea di vista: dₗ ≈ 25.30 km. Orizzonte radio: dᵣ ≈ 29.18 km
Utilizzi della Calcolatrice Linea di Vista
- Progettazione di sistemi di comunicazione punto-punto
- Calcolo della portata ottimale per antenne e ripetitori
- Verifica della copertura in reti radio o Wi-Fi outdoor
- Supporto alla pianificazione di torri e impianti di trasmissione
- Simulazioni didattiche sulla propagazione del segnale e curvatura terrestre